关于做好茂名市电白区2025年秋季中小学招生工作的通知(附学校咨询电话)
各中学、中心学校,局直各学校:
为依法保障适龄儿童、少年公平接受教育的权利,高水平、高质量普及九年义务教育,巩固和提高普及高中阶段教育,根据《义务教育法》《茂名市教育局关于印发
一、招生任务
(一)小学招生
小学一年级招收年满6周岁(即2019年8月31日前出生),具有电白区户籍的适龄儿童或家长(监护人)在电白区合法就业、居住的外来人员随迁子女。计划招收656个班,共24399人,占6周岁适龄儿童的100%。
(二)初中招生
初中一年级招收已完成小学阶段义务教育,且具有电白区户籍的适龄儿童少年或家长(监护人)在电白区合法就业、居住的外来人员随迁子女。计划招463个班,共22818人,占小学毕业生人数的100%(见附件2)。其中民办初中面向全区共招71个班3550人。
区特殊教育学校(招生联系电话:5503537)面向全区招收适龄残疾儿童少年听障班15人,培智班35人,残疾程度较重无法在校独立自理生活的适龄“三残”儿童少年可申请学校送教上门。
(三)高中招生 普通高中一年级招收已完成初中阶段学业,且具有电白区户籍的适龄少年以及符合广东省流动人口条件的适龄少年。普通高中计划招249个班,共12460人(见附件3)。另外计划向茂名市内(含市一职等)和珠三角等地区中职、技工学校输送生源共9684人。
二、招生要求
(一)义务教育阶段公办学校(特殊教育学校除外)按“学校划片招生、生源就近入学”原则招生,各校招生服务范围由各镇(街)中心学校商本镇人民政府(街道办)和相关部门划定。为规范招生行为,杜绝超计划招生,确保2025年秋季开学不存在大班额现象及逐步清除大校额,主城区学校和各镇(街道)中心小学以及学位紧张的面上小学一年级招生统一使用“电白区义务教育学校招生管理平台”报名,全区统一招生时间和统一操作流程进行招生。
民办义务教育学校按照“谁审批、谁负责”的原则,将民办义务教育学校招生纳入审批地统一管理,必须在审批地教育行政部门核定的招生范围内招生,与公办学校同步招生,不得以任何方式提前选择生源。民办义务教育学校招生统一使用“电白区义务教育学校招生管理平台”报名。对符合招生条件的报读人数多于招生计划或剩余招生指标数的民办学校,需要通过电脑随机摇号录取。办学层次同时包括小学和初中学段的民办学校,首先要确定小学升初中直升生人数,具有直升生资格的为本校小学应届毕业生、招生学校举办单位(公司)职工和本校教职工子女(小学应届毕业)。如要求直升的人数多于招生计划,需通过电脑随机摇号录取。如直升生人数少于招生计划数,剩余的招生计划要公开报名,实行电脑随机摇号录取。电脑随机摇号录取工作由我局统一组织实施(报名时间和摇号录取办法另行通知)。
(二)公民办普通高中按市教育局规定的范围招生,严格执行审批机关统一批准的招生计划、招生范围和招生办法,要按照“一生一籍,人籍一致”的原则招生,不得招收借读生、人籍分离、空挂学籍,严禁违规争抢生源,严禁未经批准违规跨区域招生、超计划招生、提前招生、免试招生,不得招收不在本市报名和参加中考的考生。电白一中的特色班面向市属初中及茂南区、电白区、滨海新区的初中招生;电白一中、电白高级中学、电白二中、电白三中、高新中学的统招生面向电白区、滨海新区招生;我区其他公办普通高中学校面向电白区的初中招生。没有填报我区公办普通高中志愿的考生不得录取。电白一中安排50%指标生名额,按比例把指标生名额分配到区内各初中学校(含民办),并适当向薄弱初中、农村初中倾斜,促进义务教育均衡发展和初中教育质量全面提高。电白一中指标生最低录取控制分数线为该校统招生分数线下降35分。指标生不含已被录取的统招生。报考指标生的学生,必须是具有茂名市户籍(含政策性照顾学生)、具有我区同一初中学校三年完整学籍并在该校就读到毕业的初中应届毕业生,或从茂名市外转学到我区并在转入学校就读到毕业、参加今年我区中考的初中应届毕业生。
(三)电白一中、电白高级中学、电海中学、水东中学、实验中学、电白三中、高新中学可招收部分体育、美术、书法、音乐、舞蹈特长生(人数包含在总招生计划数内,特长生招生办法另行制定)。
我区民办普通高中学校公费生面向市属初中及茂南区、电白区、滨海新区的初中招生。民办普通高中学校自费生计划安排在第二批和第三批面向全市招生。全区普通高中均按志愿和中考成绩录取。严禁普通高中学校招收择校生、“挂读生”和变相招收“借读生”。
(四)在第三批录取结束后,区招生办根据普通高中学校招生计划剩余情况组织补录。补录工作面向当年参加我区中考而未被普通高中学校录取的考生,补录范围与普通高中学校招生范围一致。民办普通高中学校补录可采取自主招生方式,在规定时间内将拟录取考生名单报区招生办。
(五)消防救援队伍等人员子女以及引进高层次人才等享受政府优抚优待政策人员的子女入学将按优抚优待政策规定安排其适龄子女入学。
(六)今年秋季中小学新生招生时间安排如下
1.小学、初中一年级新生招生时间为7月1日后。
2.高一新生招生时间为中考成绩公布并发布录取通知后。
(七)规范招收插班生行为,严格控制办学规模和班额。小学最大班额超过45人、初中最大班额超过50人的年级不得招收插班生。普通高中招收插班生按《转发关于加强普通高中在读学生转学管理的通知》(电教通〔2021〕48号)执行。
(八)各校要严格落实教育部提出的“十项严禁”纪律和广东省教育厅《广东省教育厅关于印发规范义务教育办学行为六项规定的通知》、“九个严禁”等要求,对违反招生工作有关规定并造成不良影响或严重后果的学校,我局将启动问责机制,对出现负面清单中违规招生行为的单位和个人,将按《电白区中小学招生负面清单及处理措施》严肃处理。
附件:1.茂名市电白区2025年秋季小学学位安排表

2.茂名市电白区2025年秋季初中学位安排表

3.茂名市电白区2025年秋季普通高中招生计划表

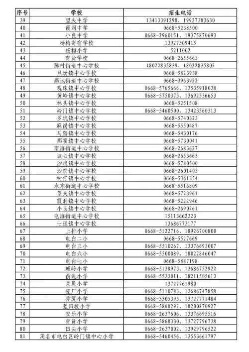
茂名市电白区秋季中小学招生咨询电话


