潍坊市各区(市)县辖区派出所户籍业务联系方式汇总:为贯彻落实“担当作为、狠抓落实”工作动员大会精神,深化“放管服”改革,潍坊市向社会公布市、县、区各派出所户籍业务联系电话。在这里为大家奉上潍坊市全市辖区各派出所户籍联系方式汇总,有需要的小伙伴也记得收藏,或者赶快转发,让更多的小伙伴知道这个消息吧!服务民生,护航发展,派出所始终在您身边!
潍坊市奎文区辖区派出所户籍业务联系方式汇总:

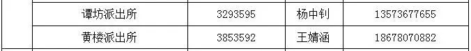
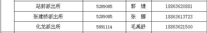
潍坊市潍城区各派出所户籍业务联系电话汇总:

潍坊市坊子区辖区派出所户籍业务联系方式汇总:

潍坊市寒亭区辖区派出所户籍业务联系方式汇总:

潍坊市高新分局户籍业务联系方式:

潍坊市滨海分局、经济分局、峡山分局、保税分局各户政科和派出所户籍业务联系方式汇总:

潍坊市临朐县辖区派出所户籍业务联系方式汇总:

潍坊市昌乐辖区派出所户籍业务联系方式汇总:

潍坊青州市辖区派出所户籍业务联系方式汇总:


潍坊诸城市辖区派出所户籍业务联系方式汇总:


潍坊寿光市辖区派出所户籍业务联系方式汇总:


潍坊安丘市辖区派出所户籍业务联系方式汇总:

潍坊高密市辖区派出所户籍业务联系方式汇总:


提示:关于潍坊市各区(市)县辖区派出所户籍业务联系方式汇总之信息仅供参考。